Effects of Different Weekly Set Progressions on Muscular Adaptations in Trained Males: Is There a Dose–Response Effect?
Diese Studie untersuchte den Effekt des schrittweisen Hinzufügens von Sets für die untere Extremität alle 2 Wochen im Vergleich zur Durchführung eines konstanten Set-Volumens bei widerstandstrainierten Männern.
11/15/2024
Ein zentraler Aspekt der Trainingssteuerung im Krafttraining ist die Frage, wie das Volumen über die Zeit gesteigert werden sollte. Eine aktuelle Studie von Alysson Enes et al. (2023) untersuchte, wie sich das schrittweise Hinzufügen von Trainingssätzen auf die Kraft und Muskelmasse der unteren Extremitäten bei widerstandstrainierten Männern auswirkt.
Studiendesign
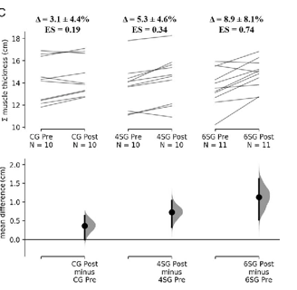
Über 12 Wochen wurden 31 trainierte Männer in drei Gruppen eingeteilt:
Konstante Gruppe (CG): gleichbleibendes Volumen
4er-Progressionsgruppe (4SG): +4 Sätze alle zwei Wochen
6er-Progressionsgruppe (6SG): +6 Sätze alle zwei Wochen
Alle Gruppen führten zweimal wöchentlich spezifisches Training der unteren Extremitäten durch.
Ergebnisse
Die 6SG-Gruppe zeigte die größten Zuwächse in der Maximalkraft (1RM-Kniebeuge), gefolgt von der 4SG und schließlich der CG. Dies deutet auf einen klaren Dosis-Wirkungs-Effekt hin: Höhere Volumina führten zu größeren Kraftzuwächsen. Interessanterweise zeigten die hypertrophischen Anpassungen (Muskelquerschnittsfläche und Muskeldicke) keinen signifikanten Unterschied zwischen den Gruppen, obwohl eine leichte Tendenz zugunsten der Gruppen mit höherem Volumen beobachtet wurde.
Fazit
Für Kraftzuwächse scheint eine progressive Erhöhung des Satzvolumens alle zwei Wochen effektiv zu sein, wobei größere Fortschritte bei einer aggressiveren Progression (6 Sätze) zu beobachten sind. In Bezug auf Muskelwachstum könnten höhere Volumina ebenfalls Vorteile bieten, jedoch scheinen diese Effekte bei erfahrenen Athleten geringer auszufallen.
Was bedeutet das für dein Training?
Die Ergebnisse unterstreichen die Bedeutung einer gezielten Volumenprogression, insbesondere für fortgeschrittene Sportler. Wenn das Ziel vor allem Kraftzuwächse sind, kann eine Steigerung des Satzvolumens ein entscheidender Faktor sein. Für die Trainingsplanung sollten jedoch individuelle Unterschiede und die Regenerationsfähigkeit berücksichtigt werden.
Diese Erkenntnisse basieren auf einer Studie, die in Medicine & Science in Sports & Exercise veröffentlicht wurde.








© 2024. All rights reserved.
